Здравствуйте, Филипп.
Отправлял 16 мая 2020 г. по электронной почте письмо с просьбой о проверке перерасчёта за отопление (от MirrorMan(at)яндекс(dot)ру). Подскажите, получили ли Вы его?
Уважаемые соседи!
Не забывайте заказывать пропуски на автомобили ваших гостей.
Телефон КПП: 8(926)076-76-78
Не забывайте заказывать пропуски на автомобили ваших гостей.
Телефон КПП: 8(926)076-76-78
Отопление. Расчет оплаты, ввод в эксплуатацию, поверка
Re: Теплосчетчики
Последний раз редактировалось Erbium 07 июл 2023, 15:47, всего редактировалось 2 раза.
Re: Теплосчетчики
Erbium писал(а):Здравствуйте, Филипп.
Отправлял 16 мая 2020 г. по электронной почте письмо с просьбой о проверке перерасчёта за отопление (от MirrorMan(at)яндекс(dot)ру). Подскажите, получили ли Вы его?
Здравствуйте!
Получал.
Информацию по корректировки отопления предоставлю чуть позже.
Нужно привести в удобочитаемый вид.
Re: Теплосчетчики
Уважаемые жители!
Довожу до вашего сведения следующую информацию:
После анализа данных переданных мне жителями дома и проведения проверки корректности начислений по услуге «Отопление-перерасчет 2019 г.», было установлено, что УК был допущен некорректный расчет в начислениях по помещениям с ИПУ по итогам 2019 года.
УК при расчете для помещений с ИПУ были использованы формулы 3.1, 3.4 и 3.7 из приложения №2 к ПП-354 от 06.05.2011, а также при расчете потребленной тепловой энергии по помещению в формуле 3.1 значение Vi принимаемое к расчету было образовано из суммы показаний ИПУ помещения и Vi рассчитанного по формуле 3.7, что в корне неправильно, т.к. расчет для помещений с ИПУ в нашем доме должен производится только по формулам 3.1, 3.4 и Vi принимаемый к расчету в формуле 3.1 должен образовываться из разницы показаний ИПУ на даты 31-12-19 и 31-12-18.
После выявления некорректных начислений было проведено обсуждение этой ситуации с ответственными сотрудниками УК и принято следующее решение:
Начисления по помещениям с ИПУ будут скорректированы в соответствии с формулами 3.1 и 3.4 приложения №2 ПП-354 от 06.05.2011 и в майских платежках для квартир с ИПУ будут отображены корректные начисления. Жителям, которые после получения майских платежек посчитают, что начисления по перерасчету отопления за 2019 год некорректны, необходимо будет в срок до 20 июня 2020 предоставить в УК для сверки данные по показаниям ИПУ на 31-12-18 и на 31-12-19. Жителям, которые не согласны с начислениями в майских платежках, но предоставившим на сверку показаниям ИПУ за 2019 год после 20 июня 2020 корректировка будет произведена при корректировке отопления за 2020 год.
После анализа этой ситуации от себя могу сказать следующее:
При расчете начислений по услуге «Отопление-перерасчет 2019 г.» было допущено некорректное начисление за отопление по помещениям с ИПУ (4% помещений дома), но злого умысла как мне видится у управляющей компании не было, расчет отопления по индивидуальным приборам учета (ИПУ) для УК был в диковинку (ранее производить расчеты по показаниям ИПУ было невозможно в связи с отсутствием необходимых формул для расчета), расчет по новым формулам УК производился впервые, при расчете имел место технический сбой в ПО производящем начисления, для помещений без ИПУ (96% помещений дома) расчет по отоплению был произведен корректно и собственникам этих помещений "возвращена" переплата за отопление, все необходимые данные для проведения проверки правильности начислений мне были предоставлены в полном объеме, после обсуждения с УК текущий ситуации, УК признала некорректность начислений и должна произвести корректировку в соответствии с ПП-354.
p.s. Хочу выразить свою благодарность жителям которые предоставили необходимые данные для проведения проверки правильности начислений. Без ваших данных мне было бы проблематично провести эту проверку.
С уважением, председатель совета МКД!
Довожу до вашего сведения следующую информацию:
После анализа данных переданных мне жителями дома и проведения проверки корректности начислений по услуге «Отопление-перерасчет 2019 г.», было установлено, что УК был допущен некорректный расчет в начислениях по помещениям с ИПУ по итогам 2019 года.
УК при расчете для помещений с ИПУ были использованы формулы 3.1, 3.4 и 3.7 из приложения №2 к ПП-354 от 06.05.2011, а также при расчете потребленной тепловой энергии по помещению в формуле 3.1 значение Vi принимаемое к расчету было образовано из суммы показаний ИПУ помещения и Vi рассчитанного по формуле 3.7, что в корне неправильно, т.к. расчет для помещений с ИПУ в нашем доме должен производится только по формулам 3.1, 3.4 и Vi принимаемый к расчету в формуле 3.1 должен образовываться из разницы показаний ИПУ на даты 31-12-19 и 31-12-18.
После выявления некорректных начислений было проведено обсуждение этой ситуации с ответственными сотрудниками УК и принято следующее решение:
Начисления по помещениям с ИПУ будут скорректированы в соответствии с формулами 3.1 и 3.4 приложения №2 ПП-354 от 06.05.2011 и в майских платежках для квартир с ИПУ будут отображены корректные начисления. Жителям, которые после получения майских платежек посчитают, что начисления по перерасчету отопления за 2019 год некорректны, необходимо будет в срок до 20 июня 2020 предоставить в УК для сверки данные по показаниям ИПУ на 31-12-18 и на 31-12-19. Жителям, которые не согласны с начислениями в майских платежках, но предоставившим на сверку показаниям ИПУ за 2019 год после 20 июня 2020 корректировка будет произведена при корректировке отопления за 2020 год.
После анализа этой ситуации от себя могу сказать следующее:
При расчете начислений по услуге «Отопление-перерасчет 2019 г.» было допущено некорректное начисление за отопление по помещениям с ИПУ (4% помещений дома), но злого умысла как мне видится у управляющей компании не было, расчет отопления по индивидуальным приборам учета (ИПУ) для УК был в диковинку (ранее производить расчеты по показаниям ИПУ было невозможно в связи с отсутствием необходимых формул для расчета), расчет по новым формулам УК производился впервые, при расчете имел место технический сбой в ПО производящем начисления, для помещений без ИПУ (96% помещений дома) расчет по отоплению был произведен корректно и собственникам этих помещений "возвращена" переплата за отопление, все необходимые данные для проведения проверки правильности начислений мне были предоставлены в полном объеме, после обсуждения с УК текущий ситуации, УК признала некорректность начислений и должна произвести корректировку в соответствии с ПП-354.
p.s. Хочу выразить свою благодарность жителям которые предоставили необходимые данные для проведения проверки правильности начислений. Без ваших данных мне было бы проблематично провести эту проверку.
С уважением, председатель совета МКД!
Расчет оплаты за отопление
Для тех, кто хочется самостоятельно произвести расчет начислений за отопление 2019 года привожу информацию необходимую для расчета:
Приложение №2 Постановления Правительства № 354 от 06.05.2011
Формулы для расчета:
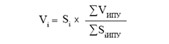
По формуле 3.1 определяется размер платы за коммунальную услугу по отоплению в i-м жилом или нежилом помещении в многоквартирном доме, который оборудован коллективным (общедомовым) прибором учета тепловой энергии и в котором хотя бы одно, но не все жилые и нежилые помещения оборудованы индивидуальными приборами учета:
По формуле 3.7 определяется Объем (количество) потребленной за расчетный период тепловой энергии, приходящийся на не оборудованное индивидуальным прибором учета i-е помещение (жилое или нежилое) в многоквартирном доме
Для помещения, оборудованного индивидуальным прибором учета Vi образуется из разницы показаний индивидуального прибора учета на конец расчетного периода и начало расчетного периода.
По формуле 3.4 корректируется размер платы за коммунальную услугу по отоплению в i-м жилом или нежилом помещении в многоквартирном доме за прошедший год
Данные необходимые для расчета - ул. Михневская, д. 8 :
Sоб - Общая площадь жилых/нежилых помещений принимая к расчету по отоплению– 163 983,88 м2
Тт - Тариф на ТЭ в 2019 год – I полугодие 1 837,51 рублей, II полугодие 1 904,28 рублей
∑VИПУ - Общий объем Гкал по жилым/нежилым с ИПУ – 356,72 Гкал
∑SiИПУ - Общая площадь жилых/нежилых с ИПУ 6 456,5 м2
Vд- Объем тепловой энергии на нужды отопления в 2019 году – I полугодие 9 551,878 Гкал, II полугодие 5728,45 Гкал
Si - Общая площадь i-го помещения для которого производится расчет
Vi – Рассчитывается по показаниям индивидуального прибора учета или по формуле 3.7
норматив на 2019 год за ТЭ - 0,009 руб. /1 м2
Пример расчета для помещения площадью 38 м2
Помещение оборудовано индивидуальным прибором учета
потребление ТЭ по ИПУ за 2019 год - 0,678Гкал
Помещение не оборудовано индивидуальным прибором учета
Приложение №2 Постановления Правительства № 354 от 06.05.2011
Формулы для расчета:
По формуле 3.1 определяется размер платы за коммунальную услугу по отоплению в i-м жилом или нежилом помещении в многоквартирном доме, который оборудован коллективным (общедомовым) прибором учета тепловой энергии и в котором хотя бы одно, но не все жилые и нежилые помещения оборудованы индивидуальными приборами учета:
По формуле 3.7 определяется Объем (количество) потребленной за расчетный период тепловой энергии, приходящийся на не оборудованное индивидуальным прибором учета i-е помещение (жилое или нежилое) в многоквартирном доме
Для помещения, оборудованного индивидуальным прибором учета Vi образуется из разницы показаний индивидуального прибора учета на конец расчетного периода и начало расчетного периода.
По формуле 3.4 корректируется размер платы за коммунальную услугу по отоплению в i-м жилом или нежилом помещении в многоквартирном доме за прошедший год
Данные необходимые для расчета - ул. Михневская, д. 8 :
Sоб - Общая площадь жилых/нежилых помещений принимая к расчету по отоплению– 163 983,88 м2
Тт - Тариф на ТЭ в 2019 год – I полугодие 1 837,51 рублей, II полугодие 1 904,28 рублей
∑VИПУ - Общий объем Гкал по жилым/нежилым с ИПУ – 356,72 Гкал
∑SiИПУ - Общая площадь жилых/нежилых с ИПУ 6 456,5 м2
Vд- Объем тепловой энергии на нужды отопления в 2019 году – I полугодие 9 551,878 Гкал, II полугодие 5728,45 Гкал
Si - Общая площадь i-го помещения для которого производится расчет
Vi – Рассчитывается по показаниям индивидуального прибора учета или по формуле 3.7
норматив на 2019 год за ТЭ - 0,009 руб. /1 м2
Пример расчета для помещения площадью 38 м2
Помещение оборудовано индивидуальным прибором учета
потребление ТЭ по ИПУ за 2019 год - 0,678Гкал
Помещение не оборудовано индивидуальным прибором учета
Re: Теплосчетчики
Филипп, доброе утро! Спасибо за проделанную работу и разъяснения!!! Но, к сожалению, еще больше НО!
1. Откуда такая площадь для расчета 163983,88 м2? В письме УК мне написала 207928,4 м2. У нас только жилой площади порядка 150000 м2. Куда делся весь первый ОТАПЛИВАЕМЫЙ этаж (и это ещё без лифтовых холлов и коридоров и т.д. и т.п.)? Хотелось бы все таки документального подтверждение указанной в расчете площади, как общей площади всех жилых и нежилых помещений (техпаспорт на МКД);
2. Показания ОДПУ в первом полугодии 9551,878 Гк, во втором 5728,450 Гк - разница почти в два раза. Однако все остальные показатели (ΣVипу, ΣVбез ипу и как следствие ΣVi) в «Расчете для помещения с ИПУ» абсолютно идентичны, как в первом так и во втором полугодии. Судя по всему просто годовые показатели разделили пополам? Лично у меня в первом полугодии 0,9 Гк, во втором 0,2 Гк, а это разные тарифы 1837,51 рублей и 1904,28 рублей за Гк соответственно;
3. Риторический вопрос: 9551,878-4530,034=5021,844 Гк-это какие помещения, неучтенные в расчетах, так протопили?!
4. Про отсутствие у УК формул с 28 декабря 2018 г. и штраф за некорректный расчёт платы за коммунальные услуги пока промолчу.
1. Откуда такая площадь для расчета 163983,88 м2? В письме УК мне написала 207928,4 м2. У нас только жилой площади порядка 150000 м2. Куда делся весь первый ОТАПЛИВАЕМЫЙ этаж (и это ещё без лифтовых холлов и коридоров и т.д. и т.п.)? Хотелось бы все таки документального подтверждение указанной в расчете площади, как общей площади всех жилых и нежилых помещений (техпаспорт на МКД);
2. Показания ОДПУ в первом полугодии 9551,878 Гк, во втором 5728,450 Гк - разница почти в два раза. Однако все остальные показатели (ΣVипу, ΣVбез ипу и как следствие ΣVi) в «Расчете для помещения с ИПУ» абсолютно идентичны, как в первом так и во втором полугодии. Судя по всему просто годовые показатели разделили пополам? Лично у меня в первом полугодии 0,9 Гк, во втором 0,2 Гк, а это разные тарифы 1837,51 рублей и 1904,28 рублей за Гк соответственно;
3. Риторический вопрос: 9551,878-4530,034=5021,844 Гк-это какие помещения, неучтенные в расчетах, так протопили?!
4. Про отсутствие у УК формул с 28 декабря 2018 г. и штраф за некорректный расчёт платы за коммунальные услуги пока промолчу.
Re: Теплосчетчики
Bubasan писал(а):Филипп, доброе утро! Спасибо за проделанную работу и разъяснения!!! Но, к сожалению, еще больше НО!
1. Откуда такая площадь для расчета 163983,88 м2? В письме УК мне написала 207928,4 м2. У нас только жилой площади порядка 150000 м2. Куда делся весь первый ОТАПЛИВАЕМЫЙ этаж (и это ещё без лифтовых холлов и коридоров и т.д. и т.п.)? Хотелось бы все таки документального подтверждение указанной в расчете площади, как общей площади всех жилых и нежилых помещений (техпаспорт на МКД);
При расчете по услуге «Отопление-перерасчет 2019 г.» отображенном в апрельской квитанции, УК для расчета применяла площадь 163 983,88м2 (я это проверял).
В письме, которое Вам прислала УК цифра 207928,4 м2 указана ошибочно.
163 983,88 м2 это площадь отапливаемых помещений
Bubasan писал(а): 2. Показания ОДПУ в первом полугодии 9551,878 Гк, во втором 5728,450 Гк - разница почти в два раза. Однако все остальные показатели (ΣVипу, ΣVбез ипу и как следствие ΣVi) в «Расчете для помещения с ИПУ» абсолютно идентичны, как в первом так и во втором полугодии. Судя по всему просто годовые показатели разделили пополам? Лично у меня в первом полугодии 0,9 Гк, во втором 0,2 Гк, а это разные тарифы 1837,51 рублей и 1904,28 рублей за Гк соответственно; .
Этот момент мной поднимался при общении с УК по вопросу текущих начислений за ТЭ.
УК при расчете отопления по полугодию столкнулась с тем, что корректных данных по показаниям помещений с ИПУ за полугодие по всем помещениям нет(, т.к. жители не всегда подают показания по ИПУ своих помещений в срок, а то и вовсе их не подают. В свою очередь для контроля показаний ИПУ в начале 2019 года и 2020 года сотрудники УК обошли помещения с ИПУ и сняли контрольные показания.
Предлагаю рассмотреть два варианта расчета для помещения с ИПУ:
Возьмем для примера помещение площадью 32.7 и потреблением ТЭ за 1 год – 1.100 Гкал
1. Вариант
потребление в 1 квартале - 0.550Гкал
потребление в 2 квартале – 0.550Гкал
Перерасчет составит – 2 254,10 рублей
2. Вариант
потребление в 1 квартале - 0.900Гкал
потребление в 2 квартале – 0.200Гкал
Перерасчет составит – 2 277,35 руб.
Разница между вариантами составляет - 23,25 рубля,хотя расход ТЭ по полугодиям сильно отличается между вариантами!!!
Чтобы исключить такие моменты на будущее и для более корректного расчета по услуге «Отопление» я попросил УК проводить снятие контрольных показаний ИПУ 2 раза в год и реализовать возможность подачи жителями показаний по ИПУ ТЭ в личном кабинете на сайте УК по аналогии с передачей показаний по ГВС и ХВС.
Bubasan писал(а):3. Риторический вопрос: 9551,878-4530,034=5021,844 Гк-это какие помещения, неучтенные в расчетах, так протопили?!
Это не помещения неучтенные в расчетах так протопили, это такая формула для расчета Vi для помещений без ИПУ!
По формуле 3.7 на основе данных для помещений с ИПУ высчитываются данные для помещений без ИПУ!
∑Vi – 4 530Гкал - это Сумма ТЭ помещений с ИПУ и без ИПУ - которая образована путем сложения показаний ИПУ помещений ∑VИПУ 178,360Гкал и данных вычисленных по формуле 3.7 для помещений без ИПУ ∑V без ИПУ 4351,670Гкал = 157 527,38*(178,360/6 456,50)
Почему считается именно так? Вопрос к тем, кто это формулу разработал, но по ПП-354 считается именно так!
Bubasan писал(а):4. Про отсутствие у УК формул с 28 декабря 2018 г. и штраф за некорректный расчёт платы за коммунальные услуги пока промолчу.
Вы, наверное неправильно поняли мою фразу « (ранее производить расчеты по показаниям ИПУ было невозможно в связи с отсутствием необходимых формул для расчета)».
Уточнение: формулы для расчета по показаниям ИПУ действительно появились с 28 декабря 2018 г., но считать по ним УК смогла начать только в 2020 году т.к. корректировка за отопление 2019 года должна была быть произведена только в 2020 году.
С уважением, председатель совета МКД!
Re: Теплосчетчики
Появились майские квитанции, как и было сообщено ранее "В майских платежках для квартир с ИПУ будут отображены начисления по отоплению в соответствии с формулами 3.1 и 3.4 приложения №2 ПП-354 от 06.05.2011".
Квитанция - Май 2020
переплата по услуге отопление 2019 - 3 927,24 руб.
правильное применение формул
Квитанция - Апрель 2020
недобор по услуге отопление 2019 - 1 852,07 руб.
некорректное применение формул
Посмотрев на эти квитанции можно увидеть, что при корректном применении формул расчета для помещений с ИПУ (майская квитанция), собственник помещения переплатил за отопление в 2019 году - 2 075,17 руб., а не как было посчитано ранее в апрельской квитанции, что он был должен доплатить - 1 852,07 руб..
С уважением, председатель совета МКД!
Квитанция - Май 2020
переплата по услуге отопление 2019 - 3 927,24 руб.
правильное применение формул
Квитанция - Апрель 2020
недобор по услуге отопление 2019 - 1 852,07 руб.
некорректное применение формул
Посмотрев на эти квитанции можно увидеть, что при корректном применении формул расчета для помещений с ИПУ (майская квитанция), собственник помещения переплатил за отопление в 2019 году - 2 075,17 руб., а не как было посчитано ранее в апрельской квитанции, что он был должен доплатить - 1 852,07 руб..
С уважением, председатель совета МКД!
Re: Теплосчетчики
Всем жителям (10 человек) кто ко мне обратился с просьбой провести проверку начисления по их помещению за отопление 2019 года и предоставил данные, ответил в личных сообщениях или по почте с приложением цифр и методики расчета по их помещению!
С уважением, председатель совета МКД!
p.s. Причина некорректного начисления по услуге «Отопление-перерасчет 2019 г.» в апрельской платежке для помещений с ИПУ - установлена, в майских платежках отображены корректные начисления по ПП-354.
Жителям, которые остались не согласны с начислениями за отопление 2019, необходимо провести сверку с УК показаний ИПУ ТЭ.
С уважением, председатель совета МКД!
p.s. Причина некорректного начисления по услуге «Отопление-перерасчет 2019 г.» в апрельской платежке для помещений с ИПУ - установлена, в майских платежках отображены корректные начисления по ПП-354.
Жителям, которые остались не согласны с начислениями за отопление 2019, необходимо провести сверку с УК показаний ИПУ ТЭ.
Re: Теплосчетчики
Филипп, большое спасибо за помощь и разъяснения!
Re: Теплосчетчики
Добрый день!
Филипп спасибо за проделанную работу.
Остался один вопрос: какие нежилые помещения их метраж учитываются в формуле
Sоб - общая площадь всех жилых и нежилых помещений в МКД?
Филипп спасибо за проделанную работу.
Остался один вопрос: какие нежилые помещения их метраж учитываются в формуле
Sоб - общая площадь всех жилых и нежилых помещений в МКД?
Вернуться в «Основной форум Z-Tower»
Кто сейчас на конференции
Сейчас этот форум просматривают: нет зарегистрированных пользователей и 3 гостя

